Visualization via the skore display API#

skore provides a family of objects that we call displays. All displays follow the common API defined by the Display protocol. As a user, you get a display by interacting with a reporter. Let’s provide an example:

from sklearn.datasets import make_classification
from sklearn.linear_model import LogisticRegression
from skore import CrossValidationReport

X, y = make_classification(
    n_samples=10_000,
    n_classes=3,
    class_sep=0.3,
    n_clusters_per_class=1,
    random_state=42,
)
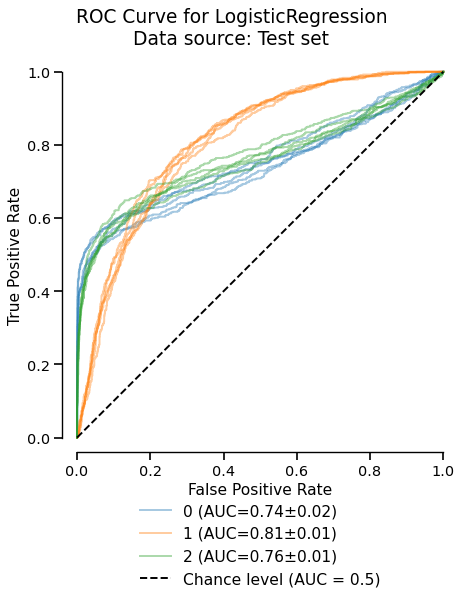
report = CrossValidationReport(LogisticRegression(), X, y)
disp = report.metrics.roc()
disp.plot()
../_images/displays-1.png

The EstimatorReport.metrics.roc() creates a RocCurveDisplay object. The first available method with the skore display is a plot method. It shows graphically the information contained in the display. Call it as many times as you want - it does not modify the display object nor require heavy computation.

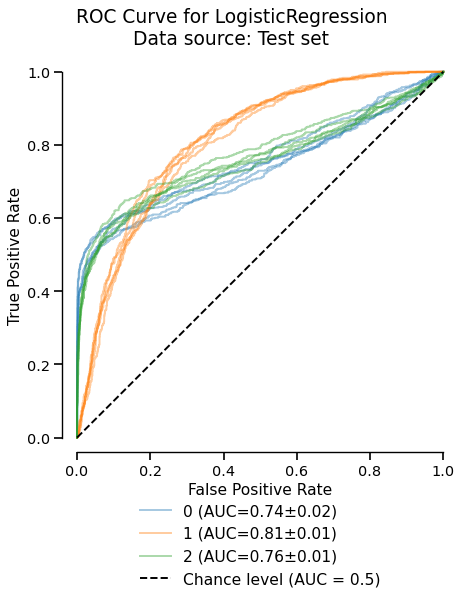
disp.plot()
../_images/displays-2.png

The plot method can be preceded by the set_style method which accepts parameters to tweak the rendering of the display. For instance, customize the appearance of the chance level:

disp.set_style(
    chance_level_kwargs=dict(linestyle="-", linewidth=5, color="tab:purple")
)
disp.plot()
../_images/displays-3.png

Any subsequent call to plot uses the style settings set by set_style.